0. 引言
本篇讲讲deepseek在MoE(Mixture-of-Experts)上的演进过程。DeepSeek是MoE稀疏模型的忠实玩家。主版本模型从DeepSeekMoE(V1) 到 DeepSeek V3,一直坚持走MoE的技术路线,并且持续做出一些创新。本文参考paper并结合源码阅读,理解MoE的演进过程和具体实现。
1.简述MoE的发展历程
首先我们简单回顾下MoE的发展历史,早在1991年一篇名为《Adaptive Mixtures of Local Experts 》的工作,最早提出了Mixture of Experts的原型框架,如图1,直至今日,MoE的框架依然保持这种形式。
图1、Adaptive Mixtures of Local Experts 框图
MoE(Mixture of Experts)是一种网络层结构, 网络层主要包括三部分:
- 专家网络(Expert Network):是一个前馈网络,逻辑上一个专家网络擅长处理一类专项的子任务,所有专家都接受相同的输入,来做特定计算处理,产出不同的输出
- 门控网络(Gating Network):跟专家网络接收一样的输入,负责产出专家偏好的权重。来指示对于一个输入,不同专家的重要程度。
- 选择器(selector):是一种根据专家权重来做专家选择的策略。可以选择权重最高的Top1专家或选择TopK专家来融合得到最终的结果。
随后一段时间,主要是Google在主导着MoE的发展。进入Transformer时代后,2020年Google发表了的《GShard》,也把模型训到了600B的规模。GShard刻画了在Transformer上做MoE的经典设计。主要包括Transformer MoE层设计和辅助负载均衡损失。
Transformer MoE层:MoE层替换Transformer的FFN层,计算逻辑:对于一个token 分别通过门控网络和专家网络计算门控值和专家输出,然后用门控值加权多个专家输出来产出最终结果。具体如下:
注:这里的专家是token级专家,而不是样本粒度,每个token都会做专家路由。此外专家是稀疏激活的,是根据门控值取topK个专家来融合计算最终的结果。GShard最多激活权重最高的2个专家。
负载均衡-辅助损失:引入负载均衡损失,目的是解决多专家token分布不均的问题。因为如果完全按门控权重选取topk专家,容易导致训练过程出现负载不均衡的问题。比如:大多数token被分配到少数几个专家,导致只有少数专家数据通信繁忙造成拥堵,从而减缓训练速度;也会导致其他专家得不到充分训练。为了解决这个问题,定义了一个辅助损失(aux_loss)来降低负载不均衡问题。
那么怎么定义负载均衡的辅助损失?
2.DeepSeek的工作
2.1. DeepSeek-moe(V1)
24年1月DeepSeek发布V1版MoE模型,作者指出当前方法存在两方面问题:
- 知识混合性:现有的MoE模型通常使用数量有限的专家(如8个或16个),由于token的知识是丰富多样的,将多样的知识分配给有限的专家,会导致特定专家的token很可能会涵盖多样化的知识,而使得专家变成一个杂糅多知识的专家,这样不能充分发挥专家的专业效果。
- 知识冗余性:分配给不同专家的token可能存在共同知识。因此,多个专家可能会在其各自的参数中学习到共享知识,从而导致专家参数存在冗余。这种问题也阻碍了现有MoE实践中专家的专业化,限制了MoE模型的理论上限性能。
针对上述问题,DeepSeek引入一种实现了专家专业化而设计的创新MoE架构。架构主要包含两方面优化:
- 细粒度专家分割(Fine-Grained Expert Segmentation):在保持参数数量不变的情况下,作者通过分割FFN中间隐藏维度来将专家分割成更细的粒度。相应地,在保持计算成本不变的情况下,可激活更多细粒度的专家,以实现激活专家组合的更高灵活性。细粒度专家分割使得多样化的知识能够被更细致地分解,并更精确地学习到不同的专家中,每个专家将保持更高的专业化水平。
- 共享专家隔离(Shared Expert Isolation):将某些专家隔离出来,作为始终激活的共享专家,旨在捕获不同上下文中的共同知识。通过将共同知识压缩到这些共享专家中,可以减轻其他路由专家之间的冗余,这可以提高参数效率,确保每个路由专家专注于不同方面而保持专业化。
如下图2所示。(b)是在(a)基础上,通过将隐层切分更细粒度,而形成细粒度专家,(c)又在(b)基础上隔离出来共享专家。DeepSeekMoE模型的演进过程,一直延续这两个创新的设置。
图2、DeepSeekMoE架构
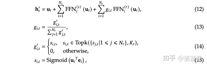
DeepSeekMoE架构的公式形式:
图3、DeepSeekMoE计算公式
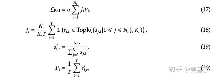
图4、Expert-Level Balance Loss 计算
class MoEGate(nn.Module):
def forward(self, hidden_states):
bsz, seq_len, h = hidden_states.shape
############################
# 这里的hidden_states就是公式里的T,是一个Batch数据的全部token做计算,每个Batch会重新计算
############################
hidden_states = hidden_states.view(-1, h)
logits = F.linear(hidden_states, self.weight, None)
scores_for_aux = logits.softmax(dim=-1)
topk_weight, topk_idx = torch.topk(scores_for_aux, k=self.top_k, dim=-1, sorted=False)
topk_idx_for_aux_loss = topk_idx.view(bsz, -1)
mask_ce = F.one_hot(topk_idx_for_aux_loss.view(-1), num_classes=self.n_routed_experts)
ce = mask_ce.float().mean(0)
############################
# 计算Pi,fi 和 aux_loss。这里的计算并没有跨Batch累积,每个Batch单独计算
############################
Pi = scores_for_aux.mean(0)
fi = ce * self.n_routed_experts
aux_loss = (Pi * fi).sum() * self.alpha
2.2. DeepSeek V2 MoE升级
DeepSeek V2 相对于V1版,对MoE模块主要在负载均衡上做了三方面升级
1.设备受限的专家路由机制(Device-Limited Routing)
随着LLM的size越来越大,对MoE模型的训练,一般要采用专家并行(expert parallelism)来分布式加载模型,也就是对于网络的一个MoE层的多个专家,分配到多个设备上,来并行训练。由于DeepSeek的MoE是做了细粒度专家的设计,通常专家会很多(V2模型的路由专家数有160个,激活专家6个)。我们知道在MoE层多专家的输入是一样的,由当前层的Self-Attention输出的隐层激活值作为MoE层的输入。如果被激活的专家分布在多个机器上,那么要把输入传输到多机器,势必会带来成倍的通讯成本。
图6 、通信复杂均衡loss 公式
图7. DeepSeek V3 MoE网络层计算框架
从实现门控的效果上看,Softmax和Sigmoid都能做实现筛选TopK的功能,也能做概率分布的归一化处理。
但V3版的MoE为什么要做从Softmax -> Sigmoid的升级?
要解释这个问题,我们看看V3版相对于V2版的专家设置发生了哪些变化。
V2版:路由专家数: 160, 激活专家数: 6个, 模型总参数67B,激活参数21B
V3版:路由专家数: 256, 激活专家数: 8个, 模型总参数671B,激活参数37B
图8、Sequence-Wise Auxiliary Loss计算
相对于V1版的专家级辅助损失(Expert-Level Balance Loss)其实就是作用粒度不一样,Sequence-Wise的粒度是单条样本粒度的token做计算。Expert-Level Balance是一个Batch的多Sequence的token做计算。公式的计算形式并没有什么差异。
最后DeepSeekV3也强调通过上面的负载均衡的策略,能达到一个非常好的平衡效果,所以在V3版并没有Token被Drop掉。
3. 总结
我们再来回顾下DeepSeek在MoE方面创新和演进过程
- V1版为了兼顾对通用知识和细粒度领域知识的建模,引入了共享专家(Shared Expert)和细粒度专家(Fine-Grained Expert)。同时为了平衡各个专家的计算负载,引入了专家级负载loss (Expert-Level Balance Loss)和 设备级负载loss(Device-Level Balance Loss)。
- V2版主要在通信负载上做了些优化,通过引入设备受限的专家路由机制和通信负载均衡loss确保设备输入、输出的通信负载均衡。
- V3版考虑负载loss对主模型的优化会有影响,将辅助负载loss做了精简,通过在门控权重增加一个可调的bias来解决通信和计算的负载。也引入了一个更细粒度的sequence负载均衡loss。同时考虑随着路由专家增到256个,在门控权重计算上选择了值域更宽、打分差异更显著的sigmoid函数替换了原来的softmax函数。
整体演进过程,如下图所示:
DeepSeek MoE演进
4. 参考文献
- Adaptive Mixtures of Local Experts
- GShard: Scaling Giant Models with Conditional Computation and Automatic Sharding
- DeepSeekMoE: Towards Ultimate Expert Specialization in Mixture-of-Experts Language Models
- DeepSeek-V2: A Strong, Economical, and Efficient Mixture-of-Experts Language Model
- DeepSeek-V3 Technical Report
— 文章来源 知乎 链接:https://zhuanlan.zhihu.com/p/18565423596
Comments NOTHING