LaTeX公式讲解

酥酥 发布于 2022-06-01 1257 次阅读


简介

相信很多做学术的科研狗应该都是听过LaTeX排版写出来的Paper是多么的好看,颜值高。其实LaTeX简单来说就是一种文字处理软件/计算机标记语言。本文作为入门教程,不去过多解释其家族TeX、LaTeX、CTeX等等之间的伦理关系。一方面,用过Word的人都知道,排版的时间有的时候比写一篇文章的时间还长。更有甚者会遇到一些无解的玄学问题;另一方面,对于很多顶级期刊、会议对于投稿论文格式明确要求是LaTeX,拒收Word格式

LaTeX,作为广义上的计算机标记语言(比如HTML),它继承了计算机语言的光荣传统,通过一些简单的代码表达出精确的含义,具有不二义性。其文章排版的结果可以完全按照你的想法来,不仅解决了玄学问题,渲染出来的文章优美;同时,其还可以通过简单的语法写出优雅高贵的数学公式,目前Markdown也已经支持LaTeX语法的公式

数学模式

在LaTeX数学模式中,公式有两种形式——行内公式和行间公式。前者公式嵌入在行内,适用于简单短小的公式;后者居中独占一行,适用于比较长或重要的公式。公式中的空格均会被忽略,可以使用命令\quad或\qquad实现 在行间公式中,命令\tag{n}可以进行手动编号


格式类标记

1.1 输入单行公式

				
					$$ $$
				
			

1.2 输入行内公式

				
					$ $
				
			

1.3 加粗

				
					{\mathbf h}
				
			

1.4 表格

				
					name | age | sex
:-: | :- | -:
tony|20|男
123
				
			
nameagesex
tony20
				
					$$\begin{array}{c|lll}
{}&{a}&{b}&{c}\\
\hline
{R_1}&{c}&{b}&{a}\\
{R_2}&{b}&{c}&{c}\\
\end{array}$$
				
			

常用代数字符

2.1 括号

2.2 分数

				
					$$ \frac{a-1}{b-1} \quad and \quad {a+1\over b+1} $$
				
			

2.3 矢量

				
					$$ \overleftarrow{xy} \quad and \quad \overleftrightarrow{xy} \quad and \quad \overrightarrow{xy} $$
				
			

2.4 上下标记

命令:\overline, \underline 分别在表达式上、下方画出水平线

命令:\overbrace, \underbrace 分别在表达式上、下方给出一个水平的大括号

				
					$$\overline{x+y} \qquad \underline{a+b}$$
				
			

2.5 积分

				
					$$ \int_0^1 {x^2} \,{\rm d}x $$
				
			

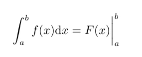
牛顿-莱布尼茨公式

				
					\[
\left.\int_{a}^{b}f(x){\mathrm{d}}x=F(x)\right|_{a}^{b}
\]
				
			

2.6 上下标

语法_表示下标、^表示上标,但上下标内容不止一个字符时,需用大括号括起来。单引号’表示求导

				
					$$ a_{ij}^{2} + b^3_{2}=x^{t} + y' + x''_{12} $$
				
			

2.7 根号、分式

命令:\sqrt表示平方根,\sqrt[n]表示n次方根,\frac表示分式

				
					$$\sqrt{x} + \sqrt{x^{2}+\sqrt{y}} = \sqrt[3]{k_{i}} - \frac{x}{m}$$
				
			

2.8 微分和偏微分

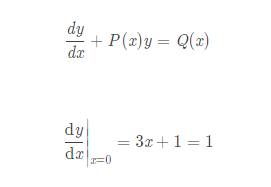
一阶微分方程
				
					$$\frac{dy}{dx}+P(x)y=Q(x)$$
$$\left. \frac{{\rm d}y}{{\rm d}x} \right|_{x=0}=3x+1=1 $$
				
			
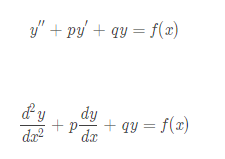
二阶微分方程
				
					$$y''+py'+qy=f(x)$$
$$\frac{d^2y}{dx^2}+p\frac{dy}{dx}+qy=f(x)$$
				
			
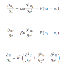
偏微分方程
				
					
$$
\frac{\partial u}{\partial t}= h^2 \left( \frac{\partial^2 u}{\partial x^2} +\frac{\partial^2 u}{\partial y^2}+ \frac{\partial^2 u}{\partial z^2}\right)
$$
				
			
拉普拉斯算子∇
				
					\nabla∇
				
			
2.9 运算符
关系运算符
集合元素符
对数运算符
三角运算符
微积分运算符
带帽符号

单击 “编辑” 按钮更改此文本。这是测试文本。

简单运算

拉丁字母、阿拉伯数字和 +-*/= 运算符均可以直接输入获得,命令\cdot表示乘法的圆点,命令\neq表示不等号,命令\equiv表示恒等于,命令\bmod表示取模

				
					$$ x+2-3*4/6=4/y + x\cdot y $$
				
			
				
					$$ 0 \neq 1 \quad x \equiv x \quad 1 = 9 \bmod 2 $$
				
			

积分、极限、求和、乘积

命令:\int表示积分,\lim表示极限, \sum表示求和,\prod表示乘积,^、_表示上、下限

				
					$$  \lim_{x \to \infty} x^2_{22} - \int_{1}^{5}x\mathrm{d}x + \sum_{n=1}^{20} n^{2} = \prod_{j=1}^{3} y_{j}  + \lim_{x \to -2} \frac{x-2}{x} $$
				
			

三圆点

命令:\ldots点位于基线上,\cdots点设置为居中,\vdots使其垂直,\ddots对角线排列

				
					$$ x_{1},x_{2},\ldots,x_{5}  \quad x_{1} + x_{2} + \cdots + x_{n} $$
				
			

重音符号

常用命令如下:

				
					$ \hat{x} $
				
			
				
					$ \bar{x} $
				
			
				
					$ \tilde{x} $
				
			

矩阵

其采用矩阵环境实现矩阵排列,常用的矩阵环境有matrix、bmatrix、vmatrix、pmatrix,其区别为在于外面的括号不同:

Vmatrix就是双竖线边框
Bmatrix是花括号边框

下列代码中,&用于分隔列,\用于分隔行

				
					$$\begin{bmatrix}
1 & 2 & \cdots \\
67 & 95 & \cdots \\
\vdots  & \vdots & \ddots \\
\end{bmatrix}$$
				
			
增广矩阵
				
					$$
\left[  \begin{array}  {c c | c} 
1 & 2 & 3 \\
\hline %插入横线,如果去掉\hline就是增广矩阵
4 & 5 & 6
\end{array}  \right]
$$
				
			

希腊字母

希腊字母无法直接通过美式键盘输入获得。在LaTeX中通过反斜杠\加上其字母读音实现,将读音首字母大写即可输入其大写形式,详见下表

				
					$$ \alpha^{2} + \beta = \Theta  $$
				
			

多行公式

公式组合

通过cases环境实现公式的组合,&分隔公式和条件,还可以通过\limits来让x→0位于lim的正下方而非默认在lim符号的右下方显示

				
					$$D(x) = \begin{cases}
\lim\limits_{x \to 0} \frac{a^x}{b+c}, & x<3 \\
\pi, & x=3 \\
\int_a^{3b}x_{ij}+e^2 \mathrm{d}x,& x>3 \\
\end{cases}$$
				
			

拆分单个公式

通过split环境实现公式拆分

				
					$$\begin{split}
\cos 2x &= \cos^2x - \sin^2x \\
&=2\cos^2x-1
\end{split}$$
				
			
附录