torch之激活函数一览

酥酥 发布于 2022-04-18 157 次阅读


优化与深度学习

优化在深度学习中的挑战

				
					%matplotlib inline
import sys
sys.path.append("..") 
import d2lzh_pytorch as d2l
from mpl_toolkits import mplot3d # 三维画图
import numpy as np
				
			

局部最小值

				
					def f(x):
    return x * np.cos(np.pi * x)

d2l.set_figsize((4.5, 2.5))
x = np.arange(-1.0, 2.0, 0.1)
fig,  = d2l.plt.plot(x, f(x))
fig.axes.annotate('local minimum', xy=(-0.3, -0.25), xytext=(-0.77, -1.0),
                  arrowprops=dict(arrowstyle='->'))
fig.axes.annotate('global minimum', xy=(1.1, -0.95), xytext=(0.6, 0.8),
                  arrowprops=dict(arrowstyle='->'))
d2l.plt.xlabel('x')
d2l.plt.ylabel('f(x)');
				
			

鞍点

				
					x = np.arange(-2.0, 2.0, 0.1)
fig, = d2l.plt.plot(x, x**3)
fig.axes.annotate('saddle point', xy=(0, -0.2), xytext=(-0.52, -5.0),
                  arrowprops=dict(arrowstyle='->'))
d2l.plt.xlabel('x')
d2l.plt.ylabel('f(x)');
				
			
				
					x, y = np.mgrid[-1: 1: 31j, -1: 1: 31j]
z = x**2 - y**2

ax = d2l.plt.figure().add_subplot(111, projection='3d')
ax.plot_wireframe(x, y, z, **{'rstride': 2, 'cstride': 2})
ax.plot([0], [0], [0], 'rx')
ticks = [-1,  0, 1]
d2l.plt.xticks(ticks)
d2l.plt.yticks(ticks)
ax.set_zticks(ticks)
d2l.plt.xlabel('x')
d2l.plt.ylabel('y');
				
			

梯度下降和随机梯度下降

				
					%matplotlib inline
import numpy as np
import torch
import math
import sys
sys.path.append("..") 
import d2lzh_pytorch as d2l
				
			

一维梯度下降

				
					def gd(eta):
    x = 10
    results = [x]
    for i in range(10):
        x -= eta * 2 * x  # f(x) = x * x的导数为f'(x) = 2 * x
        results.append(x)
    print('epoch 10, x:', x)
    return results

res = gd(0.2)
				
			
epoch 10, x: 0.06046617599999997
				
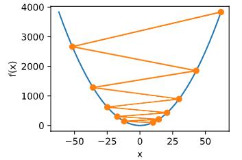
					def show_trace(res):
    n = max(abs(min(res)), abs(max(res)), 10)
    f_line = np.arange(-n, n, 0.1)
    d2l.set_figsize()
    d2l.plt.plot(f_line, [x * x for x in f_line])
    d2l.plt.plot(res, [x * x for x in res], '-o')
    d2l.plt.xlabel('x')
    d2l.plt.ylabel('f(x)')

show_trace(res)
				
			

学习率

				
					show_trace(gd(0.05))
				
			
epoch 10, x: 3.4867844009999995
				
					show_trace(gd(1.1))
				
			
epoch 10, x: 61.917364224000096

多维梯度下降

				
					def train_2d(trainer):  # 本函数将保存在d2lzh_pytorch包中方便以后使用
    x1, x2, s1, s2 = -5, -2, 0, 0  # s1和s2是自变量状态,本章后续几节会使用
    results = [(x1, x2)]
    for i in range(20):
        x1, x2, s1, s2 = trainer(x1, x2, s1, s2)
        results.append((x1, x2))
    print('epoch %d, x1 %f, x2 %f' % (i + 1, x1, x2))
    return results

def show_trace_2d(f, results):  # 本函数将保存在d2lzh_pytorch包中方便以后使用
    d2l.plt.plot(*zip(*results), '-o', color='#ff7f0e')
    x1, x2 = np.meshgrid(np.arange(-5.5, 1.0, 0.1), np.arange(-3.0, 1.0, 0.1))
    d2l.plt.contour(x1, x2, f(x1, x2), colors='#1f77b4')
    d2l.plt.xlabel('x1')
    d2l.plt.ylabel('x2')
				
			
				
					eta = 0.1

def f_2d(x1, x2):  # 目标函数
    return x1 ** 2 + 2 * x2 ** 2

def gd_2d(x1, x2, s1, s2):
    return (x1 - eta * 2 * x1, x2 - eta * 4 * x2, 0, 0)

show_trace_2d(f_2d, train_2d(gd_2d))
				
			
epoch 20, x1 -0.057646, x2 -0.000073

随机梯度下降

				
					def sgd_2d(x1, x2, s1, s2):
    return (x1 - eta * (2 * x1 + np.random.normal(0.1)),
            x2 - eta * (4 * x2 + np.random.normal(0.1)), 0, 0)

show_trace_2d(f_2d, train_2d(sgd_2d))
				
			
epoch 20, x1 -0.047150, x2 -0.075628

小批量随机梯度下降

				
					%matplotlib inline
import numpy as np
import time
import torch
from torch import nn, optim
import sys
sys.path.append("..") 
import d2lzh_pytorch as d2l

print(torch.__version__)
				
			
1.11.0+cu113

读取数据

				
					def get_data_ch7():  # 本函数已保存在d2lzh_pytorch包中方便以后使用
    data = np.genfromtxt('../../data/airfoil_self_noise.dat', delimiter='\t')
    data = (data - data.mean(axis=0)) / data.std(axis=0) # 标准化
    return torch.tensor(data[:1500, :-1], dtype=torch.float32), \
           torch.tensor(data[:1500, -1], dtype=torch.float32) # 前1500个样本(每个样本5个特征)

features, labels = get_data_ch7()
features.shape
				
			
				
					def sgd(params, states, hyperparams):
    for p in params:
        p.data -= hyperparams['lr'] * p.grad.data
				
			
				
					# 本函数已保存在d2lzh_pytorch包中方便以后使用
def train_ch7(optimizer_fn, states, hyperparams, features, labels,
              batch_size=10, num_epochs=2):
    # 初始化模型
    net, loss = d2l.linreg, d2l.squared_loss
    
    w = torch.nn.Parameter(torch.tensor(np.random.normal(0, 0.01, size=(features.shape[1], 1)), dtype=torch.float32),
                           requires_grad=True)
    b = torch.nn.Parameter(torch.zeros(1, dtype=torch.float32), requires_grad=True)

    def eval_loss():
        return loss(net(features, w, b), labels).mean().item()

    ls = [eval_loss()]
    data_iter = torch.utils.data.DataLoader(
        torch.utils.data.TensorDataset(features, labels), batch_size, shuffle=True)
    
    for _ in range(num_epochs):
        start = time.time()
        for batch_i, (X, y) in enumerate(data_iter):
            l = loss(net(X, w, b), y).mean()  # 使用平均损失
            
            # 梯度清零
            if w.grad is not None:
                w.grad.data.zero_()
                b.grad.data.zero_()
                
            l.backward()
            optimizer_fn([w, b], states, hyperparams)  # 迭代模型参数
            if (batch_i + 1) * batch_size % 100 == 0:
                ls.append(eval_loss())  # 每100个样本记录下当前训练误差
    # 打印结果和作图
    print('loss: %f, %f sec per epoch' % (ls[-1], time.time() - start))
    d2l.set_figsize()
    d2l.plt.plot(np.linspace(0, num_epochs, len(ls)), ls)
    d2l.plt.xlabel('epoch')
    d2l.plt.ylabel('loss')
				
			
				
					def train_sgd(lr, batch_size, num_epochs=2):
    train_ch7(sgd, None, {'lr': lr}, features, labels, batch_size, num_epochs)

train_sgd(1, 1500, 6)
				
			
				
					train_sgd(0.005, 1)
				
			
loss: 0.246391, 0.334214 sec per epoch
				
					train_sgd(0.05, 10)
				
			
loss: 0.245523, 0.050718 sec per epoch

简洁实现

				
					# 本函数与原书不同的是这里第一个参数优化器函数而不是优化器的名字
# 例如: optimizer_fn=torch.optim.SGD, optimizer_hyperparams={"lr": 0.05}
def train_pytorch_ch7(optimizer_fn, optimizer_hyperparams, features, labels,
                    batch_size=10, num_epochs=2):
    # 初始化模型
    net = nn.Sequential(
        nn.Linear(features.shape[-1], 1)
    )
    loss = nn.MSELoss()
    optimizer = optimizer_fn(net.parameters(), **optimizer_hyperparams)

    def eval_loss():
        return loss(net(features).view(-1), labels).item() / 2

    ls = [eval_loss()]
    data_iter = torch.utils.data.DataLoader(
        torch.utils.data.TensorDataset(features, labels), batch_size, shuffle=True)

    for _ in range(num_epochs):
        start = time.time()
        for batch_i, (X, y) in enumerate(data_iter):
            # 除以2是为了和train_ch7保持一致, 因为squared_loss中除了2
            l = loss(net(X).view(-1), y) / 2 
            
            optimizer.zero_grad()
            l.backward()
            optimizer.step()
            if (batch_i + 1) * batch_size % 100 == 0:
                ls.append(eval_loss())
    # 打印结果和作图
    print('loss: %f, %f sec per epoch' % (ls[-1], time.time() - start))
    d2l.set_figsize()
    d2l.plt.plot(np.linspace(0, num_epochs, len(ls)), ls)
    d2l.plt.xlabel('epoch')
    d2l.plt.ylabel('loss')
				
			
				
					train_pytorch_ch7(optim.SGD, {"lr": 0.05}, features, labels, 10)
				
			
loss: 0.245491, 0.044150 sec per epoch

动量法

				
					%matplotlib inline
import sys
sys.path.append("..") 
import d2lzh_pytorch as d2l
import torch

eta = 0.4
print(torch.__version__)
				
			
1.11.0+cu113

梯度下降的问题

				
					def f_2d(x1, x2):
    return 0.1 * x1 ** 2 + 2 * x2 ** 2

def gd_2d(x1, x2, s1, s2):
    return (x1 - eta * 0.2 * x1, x2 - eta * 4 * x2, 0, 0)

d2l.show_trace_2d(f_2d, d2l.train_2d(gd_2d))
				
			
epoch 20, x1 -0.943467, x2 -0.000073
				
					eta = 0.6
d2l.show_trace_2d(f_2d, d2l.train_2d(gd_2d))
				
			
epoch 20, x1 -0.387814, x2 -1673.365109

动量法

				
					def momentum_2d(x1, x2, v1, v2):
    v1 = gamma * v1 + eta * 0.2 * x1
    v2 = gamma * v2 + eta * 4 * x2
    return x1 - v1, x2 - v2, v1, v2

eta, gamma = 0.4, 0.5
d2l.show_trace_2d(f_2d, d2l.train_2d(momentum_2d))
				
			
epoch 20, x1 -0.062843, x2 0.001202
				
					eta = 0.6
d2l.show_trace_2d(f_2d, d2l.train_2d(momentum_2d))
				
			
epoch 20, x1 0.007188, x2 0.002553

从零开始实现

				
					features, labels = d2l.get_data_ch7()

def init_momentum_states():
    v_w = torch.zeros((features.shape[1], 1), dtype=torch.float32)
    v_b = torch.zeros(1, dtype=torch.float32)
    return (v_w, v_b)

def sgd_momentum(params, states, hyperparams):
    for p, v in zip(params, states):
        v.data = hyperparams['momentum'] * v.data + hyperparams['lr'] * p.grad.data
        p.data -= v.data
				
			
				
					d2l.train_ch7(sgd_momentum, init_momentum_states(),
              {'lr': 0.02, 'momentum': 0.5}, features, labels)
				
			
				
					d2l.train_ch7(sgd_momentum, init_momentum_states(),
              {'lr': 0.02, 'momentum': 0.9}, features, labels)
				
			
				
					d2l.train_ch7(sgd_momentum, init_momentum_states(),
              {'lr': 0.004, 'momentum': 0.9}, features, labels)
				
			
loss: 0.242619, 0.045030 sec per epoch

简洁实现

				
					d2l.train_pytorch_ch7(torch.optim.SGD, {'lr': 0.004, 'momentum': 0.9},
                    features, labels)
				
			

AdaGrad算法

				
					%matplotlib inline
import math
import torch
import sys
sys.path.append("..") 
import d2lzh_pytorch as d2l
				
			

特点

				
					def adagrad_2d(x1, x2, s1, s2):
    g1, g2, eps = 0.2 * x1, 4 * x2, 1e-6  # 前两项为自变量梯度
    s1 += g1 ** 2
    s2 += g2 ** 2
    x1 -= eta / math.sqrt(s1 + eps) * g1
    x2 -= eta / math.sqrt(s2 + eps) * g2
    return x1, x2, s1, s2

def f_2d(x1, x2):
    return 0.1 * x1 ** 2 + 2 * x2 ** 2

eta = 0.4
d2l.show_trace_2d(f_2d, d2l.train_2d(adagrad_2d))
				
			
epoch 20, x1 -2.382563, x2 -0.158591
				
					eta = 2
d2l.show_trace_2d(f_2d, d2l.train_2d(adagrad_2d))
				
			
epoch 20, x1 -0.002295, x2 -0.000000

从零开始实现

				
					features, labels = d2l.get_data_ch7()

def init_adagrad_states():
    s_w = torch.zeros((features.shape[1], 1), dtype=torch.float32)
    s_b = torch.zeros(1, dtype=torch.float32)
    return (s_w, s_b)

def adagrad(params, states, hyperparams):
    eps = 1e-6
    for p, s in zip(params, states):
        s.data += (p.grad.data**2)
        p.data -= hyperparams['lr'] * p.grad.data / torch.sqrt(s + eps)
				
			
				
					d2l.train_ch7(adagrad, init_adagrad_states(), {'lr': 0.1}, features, labels)
				
			
loss: 0.242541, 0.047213 sec per epoch

简洁实现

				
					d2l.train_pytorch_ch7(torch.optim.Adagrad, {'lr': 0.1}, features, labels)
				
			

RMSProp算法

				
					%matplotlib inline
import math
import torch
import sys
sys.path.append("..") 
import d2lzh_pytorch as d2l
				
			

算法

				
					def rmsprop_2d(x1, x2, s1, s2):
    g1, g2, eps = 0.2 * x1, 4 * x2, 1e-6
    s1 = gamma * s1 + (1 - gamma) * g1 ** 2
    s2 = gamma * s2 + (1 - gamma) * g2 ** 2
    x1 -= eta / math.sqrt(s1 + eps) * g1
    x2 -= eta / math.sqrt(s2 + eps) * g2
    return x1, x2, s1, s2

def f_2d(x1, x2):
    return 0.1 * x1 ** 2 + 2 * x2 ** 2

eta, gamma = 0.4, 0.9
d2l.show_trace_2d(f_2d, d2l.train_2d(rmsprop_2d))
				
			
epoch 20, x1 -0.010599, x2 0.000000

从零开始实现

				
					features, labels = d2l.get_data_ch7()

def init_rmsprop_states():
    s_w = torch.zeros((features.shape[1], 1), dtype=torch.float32)
    s_b = torch.zeros(1, dtype=torch.float32)
    return (s_w, s_b)

def rmsprop(params, states, hyperparams):
    gamma, eps = hyperparams['gamma'], 1e-6
    for p, s in zip(params, states):
        s.data = gamma * s.data + (1 - gamma) * (p.grad.data)**2
        p.data -= hyperparams['lr'] * p.grad.data / torch.sqrt(s + eps)
				
			
				
					d2l.train_ch7(rmsprop, init_rmsprop_states(), {'lr': 0.01, 'gamma': 0.9},
              features, labels)
				
			
loss: 0.242014, 0.053250 sec per epoch

简洁实现

				
					d2l.train_pytorch_ch7(torch.optim.RMSprop, {'lr': 0.01, 'alpha': 0.9},
                    features, labels)
				
			
loss: 0.243676, 0.043637 sec per epoch

AdaDelta算法

				
					%matplotlib inline
import torch
import sys
sys.path.append("..") 
import d2lzh_pytorch as d2l

features, labels = d2l.get_data_ch7()
				
			

算法

从零开始实现

				
					def init_adadelta_states():
    s_w, s_b = torch.zeros((features.shape[1], 1), dtype=torch.float32), torch.zeros(1, dtype=torch.float32)
    delta_w, delta_b = torch.zeros((features.shape[1], 1), dtype=torch.float32), torch.zeros(1, dtype=torch.float32)
    return ((s_w, delta_w), (s_b, delta_b))

def adadelta(params, states, hyperparams):
    rho, eps = hyperparams['rho'], 1e-5
    for p, (s, delta) in zip(params, states):
        s[:] = rho * s + (1 - rho) * (p.grad.data**2)
        g =  p.grad.data * torch.sqrt((delta + eps) / (s + eps))
        p.data -= g
        delta[:] = rho * delta + (1 - rho) * g * g
				
			
				
					d2l.train_ch7(adadelta, init_adadelta_states(), {'rho': 0.9}, features, labels)
				
			
loss: 0.246483, 0.061862 sec per epoch

简洁实现

				
					d2l.train_pytorch_ch7(torch.optim.Adadelta, {'rho': 0.9}, features, labels)
				
			

Adam算法

				
					%matplotlib inline
import torch
import sys
sys.path.append("..") 
import d2lzh_pytorch as d2l

features, labels = d2l.get_data_ch7()
				
			

从零开始实现

				
					def init_adam_states():
    v_w, v_b = torch.zeros((features.shape[1], 1), dtype=torch.float32), torch.zeros(1, dtype=torch.float32)
    s_w, s_b = torch.zeros((features.shape[1], 1), dtype=torch.float32), torch.zeros(1, dtype=torch.float32)
    return ((v_w, s_w), (v_b, s_b))

def adam(params, states, hyperparams):
    beta1, beta2, eps = 0.9, 0.999, 1e-6
    for p, (v, s) in zip(params, states):
        v[:] = beta1 * v + (1 - beta1) * p.grad.data
        s[:] = beta2 * s + (1 - beta2) * p.grad.data**2
        v_bias_corr = v / (1 - beta1 ** hyperparams['t'])
        s_bias_corr = s / (1 - beta2 ** hyperparams['t'])
        p.data -= hyperparams['lr'] * v_bias_corr / (torch.sqrt(s_bias_corr) + eps)
    hyperparams['t'] += 1
				
			

简洁实现

				
					d2l.train_ch7(adam, init_adam_states(), {'lr': 0.01, 't': 1}, features, labels)
				
			
loss: 0.243004, 0.064906 sec per epoch
				
					d2l.train_pytorch_ch7(torch.optim.Adam, {'lr': 0.01}, features, labels)
				
			
loss: 0.242066, 0.056867 sec per epoch