Python机器学习-Kmeans聚类

酥酥 发布于 2022-04-01 1072 次阅读


1 概述
1.1 无监督学习与聚类算法
在过去的五周之内,我们学习了决策树,随机森林,逻辑回归,他们虽然有着不同的功能,但却都属于“有监督学习”的一部分,即是说,模型在训练的时候,即需要特征矩阵X,也需要真实标签y。机器学习当中,还有相当一部分算法属于“无监督学习”,无监督的算法在训练的时候只需要特征矩阵X,不需要标签。我们曾经学过的PCA降维算法就是无监督学习中的一种,聚类算法,也是无监督学习的代表算法之一。
聚类算法又叫做“无监督分类”,其目的是将数据划分成有意义或有用的组(或簇)。这种划分可以基于我们的业务需求或建模需求来完成,也可以单纯地帮助我们探索数据的自然结构和分布。比如在商业中,如果我们手头有大量的当前和潜在客户的信息,我们可以使用聚类将客户划分为若干组,以便进一步分析和开展营销活动,最有名的客户价值判断模型RFM,就常常和聚类分析共同使用。再比如,聚类可以用于降维和矢量量化(vector quantization),可以将高维特征压缩到一列当中,常常用于图像,声音,视频等非结构化数据,可以大幅度压缩数据量。
聚类vs分类

1.2 sklearn中的聚类算法
聚类算法在sklearn中有两种表现形式,一种是类(和我们目前为止学过的分类算法以及数据预处理方法们都一样),需要实例化,训练并使用接口和属性来调用结果。另一种是函数(function),只需要输入特征矩阵和超参数,即可返回聚类的结果和各种指标。

输入数据
需要注意的一件重要事情是,该模块中实现的算法可以采用不同类型的矩阵作为输入。 所有方法都接受形状[n_samples,n_features]的标准特征矩阵,这些可以从sklearn.feature_extraction模块中的类中获得。对于亲和力传播,光谱聚类和DBSCAN,还可以输入形状[n_samples,n_samples]的相似性矩阵,我们可以使用sklearn.metrics.pairwise模块中的函数来获取相似性矩阵。

2 KMeans
2.1 KMeans是如何工作的
作为聚类算法的典型代表,KMeans可以说是最简单的聚类算法没有之一,那它是怎么完成聚类的呢?

关键概念:簇与质心
KMeans算法将一组N个样本的特征矩阵X划分为K个无交集的簇,直观上来看是簇是一组一组聚集在一起的数据,在一个簇中的数据就认为是同一类。簇就是聚类的结果表现。
簇中所有数据的均值uj通常被称为这个簇的“质心”(centroids)。在一个二维平面中,一簇数据点的质心的横坐标就是这一簇数据点的横坐标的均值,质心的纵坐标就是这一簇数据点的纵坐标的均值。同理可推广至高维空间。

在KMeans算法中,簇的个数K是一个超参数,需要我们人为输入来确定。KMeans的核心任务就是根据我们设定好的K,找出K个最优的质心,并将离这些质心最近的数据分别分配到这些质心代表的簇中去。具体过程可以总结如下:

那什么情况下,质心的位置会不再变化呢?当我们找到一个质心,在每次迭代中被分配到这个质心上的样本都是一致的,即每次新生成的簇都是一致的,所有的样本点都不会再从一个簇转移到另一个簇,质心就不会变化了。这个过程在可以由下图来显示,我们规定,将数据分为4簇(K=4),其中白色X代表质心的位置:

在数据集下多次迭代(iteration),就会有:

可以看见,第六次迭代之后,基本上质心的位置就不再改变了,生成的簇也变得稳定。此时我们的聚类就完成了,我们可以明显看出,KMeans按照数据的分布,将数据聚集成了我们规定的4类,接下来我们就可以按照我们的业务需求或者算法需求,对这四类数据进行不同的处理。
2.2 簇内误差平方和的定义和解惑
聚类算法聚出的类有什么含义呢?这些类有什么样的性质?我们认为,被分在同一个簇中的数据是有相似性的,而不同簇中的数据是不同的,当聚类完毕之后,我们就要分别去研究每个簇中的样本都有什么样的性质,从而根据业务需求制定不同的商业或者科技策略。这个听上去和我们在上周的评分卡案例中讲解的“分箱”概念有些类似,即我们分箱的目的是希望,一个箱内的人有着相似的信用风险,而不同箱的人的信用风险差异巨大,以此来区别不同信用度的人,因此我们追求“组内差异小,组间差异大”。聚类算法也是同样的目的,我们追求“簇内差异小,簇外差异大”。而这个“差异“,由样本点到其所在簇的质心的距离来衡量。
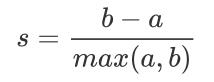
对于一个簇来说,所有样本点到质心的距离之和越小,我们就认为这个簇中的样本越相似,簇内差异就越小。而距离的衡量方法有多种,令 表示簇中的一个样本点,u 表示该簇中的质心,n表示每个样本点中的特征数目,i表示组成点 的每个特征,则该样本点到质心的距离可以由以下距离来度量:

解惑:Kmeans有损失函数吗?
记得我们在逻辑回归中曾有这样的结论:损失函数本质是用来衡量模型的拟合效果的,只有有着求解参数需求的算法,才会有损失函数。Kmeans不求解什么参数,它的模型本质也没有在拟合数据,而是在对数据进行一种探索。所以如果你去问大多数数据挖掘工程师,甚至是算法工程师,他们可能会告诉你说,K-Means不存在什么损失函数,Inertia更像是Kmeans的模型评估指标,而非损失函数。

但我们类比过了Kmeans中的Inertia和逻辑回归中的损失函数的功能,我们发现它们确实非常相似。所以,从“求解模型中的某种信息,用于后续模型的使用“这样的功能来看,我们可以认为Inertia是Kmeans中的损失函数,虽然这种说法并不严谨。
对比来看,在决策树中,我们有衡量分类效果的指标准确度accuracy,准确度所对应的损失叫做泛化误差,但我们不能通过最小化泛化误差来求解某个模型中需要的信息,我们只是希望模型的效果上表现出来的泛化误差很小。因此决策树,KNN等算法,是绝对没有损失函数的

大家可以发现,我们的Inertia是基于欧几里得距离的计算公式得来的。实际上,我们也可以使用其他距离,每个距离都有自己对应的Inertia。在过去的经验中,我们总结出不同距离所对应的质心选择方法和Inertia,在Kmeans中,只要使用了正确的质心和距离组合,无论使用什么样的距离,都可以达到不错的聚类效果:

3 sklearn.cluster.KMeans
class sklearn.cluster.KMeans (n_clusters=8, init=’k-means++’, n_init=10, max_iter=300, tol=0.0001,
precompute_distances=’auto’, verbose=0, random_state=None, copy_x=True, n_jobs=None, algorithm=’auto’)


3.1 重要参数n_clusters
n_clusters是KMeans中的k,表示着我们告诉模型我们要分几类。这是KMeans当中唯一一个必填的参数,默认为8类,但通常我们的聚类结果会是一个小于8的结果。通常,在开始聚类之前,我们并不知道n_clusters究竟是多少,因此我们要对它进行探索。
3.1.1 先进行一次聚类看看吧
当我们拿到一个数据集,如果可能的话,我们希望能够通过绘图先观察一下这个数据集的数据分布,以此来为我们聚类时输入的n_clusters做一个参考。
首先,我们来自己创建一个数据集。这样的数据集是我们自己创建,所以是有标签的。

				
					from sklearn.datasets import make_blobs
import matplotlib.pyplot as plt
#自己创建数据集
X, y = make_blobs(n_samples=500,n_features=2,centers=4,random_state=1)
fig, ax1 = plt.subplots(1)
ax1.scatter(X[:, 0], X[:, 1]
     ,marker='o' #点的形状
     ,s=8 #点的大小
     )
plt.show()
#如果我们想要看见这个点的分布,怎么办?
color = ["red","pink","orange","gray"]
fig, ax1 = plt.subplots(1)
for i in range(4):
  ax1.scatter(X[y==i, 0], X[y==i, 1]
     ,marker='o' #点的形状
     ,s=8 #点的大小
     ,c=color[i]
     )
plt.show()
				
			

基于这个分布,我们来使用Kmeans进行聚类。首先,我们要猜测一下,这个数据中有几簇?

				
					from sklearn.cluster import KMeans
n_clusters = 3
cluster = KMeans(n_clusters=n_clusters, random_state=0).fit(X)
y_pred = cluster.labels_
y_pred
pre = cluster.fit_predict(X)
pre == y_pred
cluster_smallsub = KMeans(n_clusters=n_clusters, random_state=0).fit(X[:200])
y_pred_ = cluster_smallsub.predict(X)
y_pred == y_pred_
centroid = cluster.cluster_centers_
centroid
centroid.shape
inertia = cluster.inertia_
inertia
color = ["red","pink","orange","gray"]
fig, ax1 = plt.subplots(1)
for i in range(n_clusters):
  ax1.scatter(X[y_pred==i, 0], X[y_pred==i, 1]
     ,marker='o'
     ,s=8
     ,c=color[i]
     )
ax1.scatter(centroid[:,0],centroid[:,1]
     ,marker="x"
     ,s=15
     ,c="black")
plt.show()
n_clusters = 4
cluster_ = KMeans(n_clusters=n_clusters, random_state=0).fit(X)
inertia_ = cluster_.inertia_
inertia_
n_clusters = 5
cluster_ = KMeans(n_clusters=n_clusters, random_state=0).fit(X)
inertia_ = cluster_.inertia_
inertia_
n_clusters = 6
cluster_ = KMeans(n_clusters=n_clusters, random_state=0).fit(X)
inertia_ = cluster_.inertia_
inertia_
				
			

3.1.2 聚类算法的模型评估指标
不同于分类模型和回归,聚类算法的模型评估不是一件简单的事。在分类中,有直接结果(标签)的输出,并且分类的结果有正误之分,所以我们使用预测的准确度,混淆矩阵,ROC曲线等等指标来进行评估,但无论如何评估,都是在”模型找到正确答案“的能力。而回归中,由于要拟合数据,我们有SSE均方误差,有损失函数来衡量模型的拟合程度。但这些衡量指标都不能够使用于聚类。

面试高危问题:如何衡量聚类算法的效果?
聚类模型的结果不是某种标签输出,并且聚类的结果是不确定的,其优劣由业务需求或者算法需求来决定,并且没有永远的正确答案。那我们如何衡量聚类的效果呢?

记得我们说过,KMeans的目标是确保“簇内差异小,簇外差异大”,我们就可以通过衡量簇内差异来衡量聚类的效果。我们刚才说过,Inertia是用距离来衡量簇内差异的指标,因此,我们是否可以使用Inertia来作为聚类的衡量指标呢?Inertia越小模型越好嘛。
可以,但是这个指标的缺点和极限太大。
首先,它不是有界的。我们只知道,Inertia是越小越好,是0最好,但我们不知道,一个较小的Inertia究竟有没有达到模型的极限,能否继续提高。
第二,它的计算太容易受到特征数目的影响,数据维度很大的时候,Inertia的计算量会陷入维度诅咒之中,计算量会爆炸,不适合用来一次次评估模型。
第三,它会受到超参数K的影响,在我们之前的常识中其实我们已经发现,随着K越大,Inertia注定会越来越小,但这并不代表模型的效果越来越好了
第四,Inertia对数据的分布有假设,它假设数据满足凸分布(即数据在二维平面图像上看起来是一个凸函数的样子),并且它假设数据是各向同性的(isotropic),即是说数据的属性在不同方向上代表着相同的含义。但是现实中的数据往往不是这样。所以使用Inertia作为评估指标,会让聚类算法在一些细长簇,环形簇,或者不规则形状的流形时表现不佳:

那我们可以使用什么指标呢?分两种情况来看。
3.1.2.1 当真实标签已知的时候
虽然我们在聚类中不输入真实标签,但这不代表我们拥有的数据中一定不具有真实标签,或者一定没有任何参考信息。当然,在现实中,拥有真实标签的情况非常少见(几乎是不可能的)。如果拥有真实标签,我们更倾向于使用分类算法。但不排除我们依然可能使用聚类算法的可能性。如果我们有样本真实聚类情况的数据,我们可以对于聚类算法的结果和真实结果来衡量聚类的效果。常用的有以下三种方法:

3.1.2.2 当真实标签未知的时候:轮廓系数
在99%的情况下,我们是对没有真实标签的数据进行探索,也就是对不知道真正答案的数据进行聚类。这样的聚类,是完全依赖于评价簇内的稠密程度(簇内差异小)和簇间的离散程度(簇外差异大)来评估聚类的效果。其中轮廓系数是最常用的聚类算法的评价指标。它是对每个样本来定义的,它能够同时衡量:
1)样本与其自身所在的簇中的其他样本的相似度a,等于样本与同一簇中所有其他点之间的平均距离
2)样本与其他簇中的样本的相似度b,等于样本与下一个最近的簇中的所有点之间的平均距离
根据聚类的要求”簇内差异小,簇外差异大“,我们希望b永远大于a,并且大得越多越好。
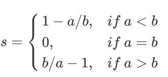
单个样本的轮廓系数计算为:

这个公式可以被解析为:

很容易理解轮廓系数范围是(-1,1),其中值越接近1表示样本与自己所在的簇中的样本很相似,并且与其他簇中的样本不相似,当样本点与簇外的样本更相似的时候,轮廓系数就为负。当轮廓系数为0时,则代表两个簇中的样本相似度一致,两个簇本应该是一个簇。可以总结为轮廓系数越接近于1越好,负数则表示聚类效果非常差。
如果一个簇中的大多数样本具有比较高的轮廓系数,则簇会有较高的总轮廓系数,则整个数据集的平均轮廓系数越高,则聚类是合适的。如果许多样本点具有低轮廓系数甚至负值,则聚类是不合适的,聚类的超参数K可能设定得太大或者太小。

在sklearn中,我们使用模块metrics中的类silhouette_score来计算轮廓系数,它返回的是一个数据集中,所有样本的轮廓系数的均值。但我们还有同在metrics模块中的silhouette_sample,它的参数与轮廓系数一致,但返回的是数据集中每个样本自己的轮廓系数。
我们来看看轮廓系数在我们自建的数据集上表现如何:

				
					from sklearn.metrics import silhouette_score
from sklearn.metrics import silhouette_samples
X
y_pred
silhouette_score(X,y_pred)
silhouette_score(X,cluster_.labels_)
silhouette_samples(X,y_pred)
				
			

轮廓系数有很多优点,它在有限空间中取值,使得我们对模型的聚类效果有一个“参考”。并且,轮廓系数对数据的分布没有假设,因此在很多数据集上都表现良好。但它在每个簇的分割比较清洗时表现最好。但轮廓系数也有缺陷,它在凸型的类上表现会虚高,比如基于密度进行的聚类,或通过DBSCAN获得的聚类结果,如果使用轮廓系数来衡量,则会表现出比真实聚类效果更高的分数。


3.1.2.3 当真实标签未知的时候:Calinski-Harabaz Index
除了轮廓系数是最常用的,我们还有卡林斯基-哈拉巴斯指数(Calinski-Harabaz Index,简称CHI,也被称为方差比标准),戴维斯-布尔丁指数(Davies-Bouldin)以及权变矩阵(Contingency Matrix)可以使用。

				
					from sklearn.metrics import calinski_harabaz_score
X
y_pred
calinski_harabaz_score(X, y_pred)
				
			

虽然calinski-Harabaz指数没有界,在凸型的数据上的聚类也会表现虚高。但是比起轮廓系数,它有一个巨大的优点,就是计算非常快速。之前我们使用过魔法命令%%timeit来计算一个命令的运算时间,今天我们来选择另一种方法:时间戳计算运行时间。

				
					from time import time
t0 = time()
calinski_harabaz_score(X, y_pred)
time() - t0
t0 = time()
silhouette_score(X,y_pred)
time() - t0
import datetime
datetime.datetime.fromtimestamp(t0).strftime("%Y-%m-%d %H:%M:%S")
				
			

可以看得出,calinski-harabaz指数比轮廓系数的计算块了一倍不止。想想看我们使用的数据量,如果是一个以万计的数据,轮廓系数就会大大拖慢我们模型的运行速度了。
3.1.3 案例:基于轮廓系数来选择n_clusters
我们通常会绘制轮廓系数分布图和聚类后的数据分布图来选择我们的最佳n_clusters。

				
					from sklearn.cluster import KMeans
from sklearn.metrics import silhouette_samples, silhouette_score
import matplotlib.pyplot as plt
import matplotlib.cm as cm
import numpy as np
n_clusters = 4
fig, (ax1, ax2) = plt.subplots(1, 2)
fig.set_size_inches(18, 7)
ax1.set_xlim([-0.1, 1])
ax1.set_ylim([0, X.shape[0] + (n_clusters + 1) * 10])
clusterer = KMeans(n_clusters=n_clusters, random_state=10).fit(X)
cluster_labels = clusterer.labels_
silhouette_avg = silhouette_score(X, cluster_labels)
print("For n_clusters =", n_clusters,
   "The average silhouette_score is :", silhouette_avg)
sample_silhouette_values = silhouette_samples(X, cluster_labels)
y_lower = 10
for i in range(n_clusters):
  ith_cluster_silhouette_values = sample_silhouette_values[cluster_labels == i]
  ith_cluster_silhouette_values.sort()
  size_cluster_i = ith_cluster_silhouette_values.shape[0]
  y_upper = y_lower + size_cluster_i
  color = cm.nipy_spectral(float(i)/n_clusters)
  ax1.fill_betweenx(np.arange(y_lower, y_upper)
          ,ith_cluster_silhouette_values
          ,facecolor=color
          ,alpha=0.7
          )
  ax1.text(-0.05
      , y_lower + 0.5 * size_cluster_i
      , str(i))
  y_lower = y_upper + 10
ax1.set_title("The silhouette plot for the various clusters.")
ax1.set_xlabel("The silhouette coefficient values")
ax1.set_ylabel("Cluster label")
ax1.axvline(x=silhouette_avg, color="red", linestyle="--")
ax1.set_yticks([])
ax1.set_xticks([-0.1, 0, 0.2, 0.4, 0.6, 0.8, 1])
colors = cm.nipy_spectral(cluster_labels.astype(float) / n_clusters)
ax2.scatter(X[:, 0], X[:, 1]
     ,marker='o'
     ,s=8
     ,c=colors
     )
centers = clusterer.cluster_centers_
# Draw white circles at cluster centers
ax2.scatter(centers[:, 0], centers[:, 1], marker='x',
      c="red", alpha=1, s=200)
ax2.set_title("The visualization of the clustered data.")
ax2.set_xlabel("Feature space for the 1st feature")
ax2.set_ylabel("Feature space for the 2nd feature")
plt.suptitle(("Silhouette analysis for KMeans clustering on sample data "
       "with n_clusters = %d" % n_clusters),
      fontsize=14, fontweight='bold')
plt.show()
				
			

将上述过程包装成一个循环,可以得到:

				
					from sklearn.cluster import KMeans
from sklearn.metrics import silhouette_samples, silhouette_score
import matplotlib.pyplot as plt
import matplotlib.cm as cm
import numpy as np
for n_clusters in [2,3,4,5,6,7]:
  n_clusters = n_clusters
  fig, (ax1, ax2) = plt.subplots(1, 2)
  fig.set_size_inches(18, 7)
  ax1.set_xlim([-0.1, 1])
  ax1.set_ylim([0, X.shape[0] + (n_clusters + 1) * 10])
  clusterer = KMeans(n_clusters=n_clusters, random_state=10).fit(X)
  cluster_labels = clusterer.labels_
  silhouette_avg = silhouette_score(X, cluster_labels)
  print("For n_clusters =", n_clusters,
     "The average silhouette_score is :", silhouette_avg)
  sample_silhouette_values = silhouette_samples(X, cluster_labels)
  y_lower = 10
  for i in range(n_clusters):
    ith_cluster_silhouette_values = sample_silhouette_values[cluster_labels == i]
    ith_cluster_silhouette_values.sort()
    size_cluster_i = ith_cluster_silhouette_values.shape[0]
    y_upper = y_lower + size_cluster_i
    color = cm.nipy_spectral(float(i)/n_clusters)
    ax1.fill_betweenx(np.arange(y_lower, y_upper)
            ,ith_cluster_silhouette_values
            ,facecolor=color
            ,alpha=0.7
            )
    ax1.text(-0.05
        , y_lower + 0.5 * size_cluster_i
        , str(i))
    y_lower = y_upper + 10
  ax1.set_title("The silhouette plot for the various clusters.")
  ax1.set_xlabel("The silhouette coefficient values")
  ax1.set_ylabel("Cluster label")
  ax1.axvline(x=silhouette_avg, color="red", linestyle="--")
  ax1.set_yticks([])
  ax1.set_xticks([-0.1, 0, 0.2, 0.4, 0.6, 0.8, 1])
  colors = cm.nipy_spectral(cluster_labels.astype(float) / n_clusters)
  ax2.scatter(X[:, 0], X[:, 1]
       ,marker='o'
       ,s=8
       ,c=colors
       )
  centers = clusterer.cluster_centers_
  # Draw white circles at cluster centers
  ax2.scatter(centers[:, 0], centers[:, 1], marker='x',
        c="red", alpha=1, s=200)
 
  ax2.set_title("The visualization of the clustered data.")
  ax2.set_xlabel("Feature space for the 1st feature")
  ax2.set_ylabel("Feature space for the 2nd feature")
  plt.suptitle(("Silhouette analysis for KMeans clustering on sample data "
  "with n_clusters = %d" % n_clusters),
        fontsize=14, fontweight='bold')
  plt.show()
				
			

3.2 重要参数init & random_state & n_init:初始质心怎么放好?
在K-Means中有一个重要的环节,就是放置初始质心。如果有足够的时间,K-means一定会收敛,但Inertia可能收敛到局部最小值。是否能够收敛到真正的最小值很大程度上取决于质心的初始化。init就是用来帮助我们决定初始化方式的参数。
初始质心放置的位置不同,聚类的结果很可能也会不一样,一个好的质心选择可以让K-Means避免更多的计算,让算法收敛稳定且更快。在之前讲解初始质心的放置时,我们是使用”随机“的方法在样本点中抽取k个样本作为初始质心,这种方法显然不符合”稳定且更快“的需求。为此,我们可以使用random_state参数来控制每次生成的初始质心都在相同位置,甚至可以画学习曲线来确定最优的

random_state是哪个整数。
一个random_state对应一个质心随机初始化的随机数种子。如果不指定随机数种子,则sklearn中的K-means并不会只选择一个随机模式扔出结果,而会在每个随机数种子下运行多次,并使用结果最好的一个随机数种子来作为初始质心。我们可以使用参数n_init来选择,每个随机数种子下运行的次数。这个参数不常用到,默认10次,如果我们希望运行的结果更加精确,那我们可以增加这个参数n_init的值来增加每个随机数种子下运行的次数。然而这种方法依然是基于随机性的。
为了优化选择初始质心的方法,2007年Arthur, David, and Sergei Vassilvitskii三人发表了论文“k-means++: The advantages of careful seeding”,他们开发了”k-means ++“初始化方案,使得初始质心(通常)彼此远离,以此来引导出比随机初始化更可靠的结果。在sklearn中,我们使用参数init =’k-means ++’来选择使用k-means ++作为质
心初始化的方案。通常来说,我建议保留默认的”k-means++”的方法。


init:可输入”k-means++”,”random”或者一个n维数组。这是初始化质心的方法,默认”k-means++”。输入”k-means++”:一种为K均值聚类选择初始聚类中心的聪明的办法,以加速收敛。如果输入了n维数组,数组的形状应
该是(n_clusters,n_features)并给出初始质心。
random_state:控制每次质心随机初始化的随机数种子
n_init:整数,默认10,使用不同的质心随机初始化的种子来运行k-means算法的次数。最终结果会是基于Inertia来计算的n_init次连续运行后的最佳输出

				
					X
y
plus = KMeans(n_clusters = 10).fit(X)
plus.n_iter_
random = KMeans(n_clusters = 10,init="random",random_state=420).fit(X)
random.n_iter_
				
			

3.3 重要参数max_iter & tol:让迭代停下来

在之前描述K-Means的基本流程时我们提到过,当质心不再移动,Kmeans算法就会停下来。但在完全收敛之前,我们也可以使用max_iter,最大迭代次数,或者tol,两次迭代间Inertia下降的量,这两个参数来让迭代提前停下来。有时候,当我们的n_clusters选择不符合数据的自然分布,或者我们为了业务需求,必须要填入与数据的自然分布不合的n_clusters,提前让迭代停下来反而能够提升模型的表现。
max_iter:整数,默认300,单次运行的k-means算法的最大迭代次数
tol:浮点数,默认1e-4,两次迭代间Inertia下降的量,如果两次迭代之间Inertia下降的值小于tol所设定的值,迭代就会停下

3.4 重要属性与重要接口
到这里,所有的重要参数就讲完了。在使用模型的过程中,我也向大家呈现了各种重要的属性与接口,在这一小节
来复习一下:

3.5 函数cluster.k_means
sklearn.cluster.k_means (X, n_clusters, sample_weight=None, init=’k-means++’, precompute_distances=’auto’,
n_init=10, max_iter=300, verbose=False, tol=0.0001, random_state=None, copy_x=True, n_jobs=None,
algorithm=’auto’, return_n_iter=False)

函数k_means的用法其实和类非常相似,不过函数是输入一系列值,而直接返回结果。一次性地,函数k_means会依次返回质心,每个样本对应的簇的标签,inertia以及最佳迭代次数。

				
					from sklearn.cluster import k_means
k_means(X,4,return_n_iter=True)
				
			

4 案例:聚类算法用于降维,KMeans的矢量量化应用
K-Means聚类最重要的应用之一是非结构数据(图像,声音)上的矢量量化(VQ)。非结构化数据往往占用比较多的储存空间,文件本身也会比较大,运算非常缓慢,我们希望能够在保证数据质量的前提下,尽量地缩小非结构化数据的大小,或者简化非结构化数据的结构。矢量量化就可以帮助我们实现这个目的。KMeans聚类的矢量量化本质是一种降维运用,但它与我们之前学过的任何一种降维算法的思路都不相同。特征选择的降维是直接选取对模型贡献最大的特征,PCA的降维是聚合信息,而矢量量化的降维是在同等样本量上压缩信息的大小,即不改变特征的数目也不改变样本的数目,只改变在这些特征下的样本上的信息量。
对于图像来说,一张图片上的信息可以被聚类如下表示:

这是一组40个样本的数据,分别含有40组不同的信息(x1,x2)。我们将代表所有样本点聚成4类,找出四个质心,我们认为,这些点和他们所属的质心非常相似,因此他们所承载的信息就约等于他们所在的簇的质心所承载的信息。


于是,我们可以使用每个样本所在的簇的质心来覆盖原有的样本,有点类似四舍五入的感觉,类似于用1来代替0.9和0.8。这样,40个样本带有的40种取值,就被我们压缩了4组取值,虽然样本量还是40个,但是这40个样本所带的取值其实只有4个,就是分出来的四个簇的质心。
用K-Means聚类中获得的质心来替代原有的数据,可以把数据上的信息量压缩到非常小,但又不损失太多信息。我们接下来就通过一张图图片的矢量量化来看一看K-Means如何实现压缩数据大小,却不损失太多信息量。
1. 导入需要的库

				
					import numpy as np
import matplotlib.pyplot as plt
from sklearn.cluster import KMeans
from sklearn.metrics import pairwise_distances_argmin
from sklearn.datasets import load_sample_image
from sklearn.utils import shuffle
				
			

2. 导入数据,探索数据

				
					from sklearn.metrics import calinski_harabaz_score
X
y_pred
calinski_harabaz_score(X, y_pred)
china.shape
china[0][0]
newimage = china.reshape((427 * 640,3))
import pandas as pd
pd.DataFrame(newimage).drop_duplicates().shape
plt.figure(figsize=(15,15))
plt.imshow(china)
flower = load_sample_image("flower.jpg")
plt.figure(figsize=(15,15))
plt.imshow(flower)
				
			

图像探索完毕,我们了解了,图像现在有9W多种颜色。我们希望来试试看,能否使用K-Means将颜色压缩到64种,还不严重损耗图像的质量。为此,我们要使用K-Means来将9W种颜色聚类成64类,然后使用64个簇的质心来替代全部的9W种颜色,记得质心有着这样的性质:簇中的点都是离质心最近的样本点。


为了比较,我们还要画出随机压缩到64种颜色的矢量量化图像。我们需要随机选取64个样本点作为随机质心,计算原数据中每个样本到它们的距离来找出离每个样本最近的随机质心,然后用每个样本所对应的随机质心来替换原本的样本。两种状况下,我们观察图像可视化之后的状况,以查看图片信息的损失。在这之前,我们需要把数据处理成sklearn中的K-Means类能够接受的数据。
3. 决定超参数,数据预处理

				
					n_clusters = 64
china = np.array(china, dtype=np.float64) / china.max()
w, h, d = original_shape = tuple(china.shape)
assert d == 3
image_array = np.reshape(china, (w * h, d))
china = np.array(china, dtype=np.float64) / china.max()
w, h, d = original_shape = tuple(china.shape)
w
h
d
assert d == 3
d_ = 5
assert d_ == 3, "一个格子中的特征数目不等于3种"
image_array = np.reshape(china, (w * h, d))
image_array
image_array.shape
a = np.random.random((2,4))
a
a.reshape((4,2))
np.reshape(a,(4,2))
np.reshape(a,(2,2,2))
np.reshape(a,(3,2))
				
			

4. 对数据进行K-Means的矢量量化

				
					image_array_sample = shuffle(image_array, random_state=0)[:1000]
kmeans = KMeans(n_clusters=n_clusters, random_state=0).fit(image_array_sample)
kmeans.cluster_centers_
labels = kmeans.predict(image_array)
labels.shape
image_kmeans = image_array.copy()
for i in range(w*h):
  image_kmeans[i] = kmeans.cluster_centers_[labels[i]]
image_kmeans
pd.DataFrame(image_kmeans).drop_duplicates().shape
image_kmeans = image_kmeans.reshape(w,h,d)
image_kmeans.shape
				
			

5. 对数据进行随机的矢量量化

				
					centroid_random = shuffle(image_array, random_state=0)[:n_clusters]
labels_random = pairwise_distances_argmin(centroid_random,image_array,axis=0)
labels_random.shape
len(set(labels_random))
image_random = image_array.copy()
for i in range(w*h):
  image_random[i] = centroid_random[labels_random[i]]
image_random = image_random.reshape(w,h,d)
image_random.shape
				
			

6. 将原图,按KMeans矢量量化和随机矢量量化的图像绘制出来

				
					plt.figure(figsize=(10,10))
plt.axis('off')
plt.title('Original image (96,615 colors)')
plt.imshow(china)
plt.figure(figsize=(10,10))
plt.axis('off')
plt.title('Quantized image (64 colors, K-Means)')
plt.imshow(image_kmeans)
plt.figure(figsize=(10,10))
plt.axis('off')
plt.title('Quantized image (64 colors, Random)')
plt.imshow(image_random)
plt.show()
				
			

5 附录
5.1 KMeans参数列表

5.2 KMeans属性列表

5.3 KMeans接口列表